05.04.2011, 10:23
Hallo Leute,
ich hab mal wieder ein Problem und hoffe es kann mir einer dabei helfen.
Ich habe EMG-RohDaten im ASCII format in einer Textdatei gespeichert.
Dieses Signal habe ich mit einem gleitenden Mittelwert dargestellt. Funktioniert einwandfrei.
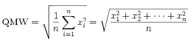
Für die Analyse von EMG-Daten wird nur leider der Root Mean Square (RMS) als Standard angesehen.
So, nun hab ich mir ein RMS-VI nach der Formel selbst gebastelt.
[attachment=33093]
Wobei "n" das Zeitfenster ist, über das jeweils der RMS berechnet wird.
Die Rohdaten hab ich alle in ein Array geschoben und lasse dann die "Formel" über das Array laufen, mit dem entsprechenden Zeitfenster. Dieses Zeitfenster muss variabel einstellbar sein.
kleines Bsp.:
- Rohdaten anzahl = 3000 samples
- Zeitfenster = 100 samples
--> 1. Durchlauf: Berechnung des RMS über die Werte im Array (0-99)
--> 2. Durchlauf: Berechnung des RMS über die Werte im Array (1-100)
--> 3. Durchlauf: Berechnung des RMS über die Werte im Array (2-101)
--> usw.
--> Darstellung der RMS Werte als Kurvensignal
Nun gibt es ja auch die RMS im Funktionsumfang von Labview.. nur leider weiss ich nicht, ob ich da ein Zeitfenster definieren kann.
hab damit schon rumprobiert, aber bekomme es einfach nicht hin.
Ich würde auch gern mal überprüfen, ob mein VI auch wirklich das berechnet, was eigentlich im RMS berechnet wird und ob das mit meiner Berechnung übereinstimmt.
Bild:
rot = Roh EMG
weiss = gleitender Mittelwert
blau = mein berechnetes RMS
ich hab mal wieder ein Problem und hoffe es kann mir einer dabei helfen.
Ich habe EMG-RohDaten im ASCII format in einer Textdatei gespeichert.
Dieses Signal habe ich mit einem gleitenden Mittelwert dargestellt. Funktioniert einwandfrei.
Für die Analyse von EMG-Daten wird nur leider der Root Mean Square (RMS) als Standard angesehen.
So, nun hab ich mir ein RMS-VI nach der Formel selbst gebastelt.
[attachment=33093]
Wobei "n" das Zeitfenster ist, über das jeweils der RMS berechnet wird.
Die Rohdaten hab ich alle in ein Array geschoben und lasse dann die "Formel" über das Array laufen, mit dem entsprechenden Zeitfenster. Dieses Zeitfenster muss variabel einstellbar sein.
kleines Bsp.:
- Rohdaten anzahl = 3000 samples
- Zeitfenster = 100 samples
--> 1. Durchlauf: Berechnung des RMS über die Werte im Array (0-99)
--> 2. Durchlauf: Berechnung des RMS über die Werte im Array (1-100)
--> 3. Durchlauf: Berechnung des RMS über die Werte im Array (2-101)
--> usw.
--> Darstellung der RMS Werte als Kurvensignal
Nun gibt es ja auch die RMS im Funktionsumfang von Labview.. nur leider weiss ich nicht, ob ich da ein Zeitfenster definieren kann.
hab damit schon rumprobiert, aber bekomme es einfach nicht hin.
Ich würde auch gern mal überprüfen, ob mein VI auch wirklich das berechnet, was eigentlich im RMS berechnet wird und ob das mit meiner Berechnung übereinstimmt.
Bild:
rot = Roh EMG
weiss = gleitender Mittelwert
blau = mein berechnetes RMS
danke schon mal dafür
