INFO: Dieses Forum nutzt Cookies...
Cookies sind für den Betrieb des Forums unverzichtbar. Mit der Nutzung des Forums erklärst Du dich damit einverstanden, dass wir Cookies verwenden.

Es wird in jedem Fall ein Cookie gesetzt um diesen Hinweis nicht mehr zu erhalten. Desweiteren setzen wir Google Adsense und Google Analytics ein.


Antwort schreiben 

Problem mit Effektivwertberechnung



Wenn dein Problem oder deine Frage geklärt worden ist, markiere den Beitrag als "Lösung",
indem du auf den "Lösung" Button rechts unter dem entsprechenden Beitrag klickst. Vielen Dank!

28.04.2008, 12:42 (Dieser Beitrag wurde zuletzt bearbeitet: 29.04.2008 18:58 von jg.)
Beitrag #1

Benjamin84 Offline
LVF-Gelegenheitsschreiber
**


Beiträge: 56
Registriert seit: Apr 2008

8.5
-
de

13467
Deutschland
Problem mit Effektivwertberechnung
Hallo,
Ich habe mal eine Frage zum Effektivwert.
Wenn ich zwei Sinusfunktionen habe und die Effektivwerte berechne und die Effektivwerte multipliziere, dann müsste doch das selbe herauskommen als wenn ich die Momentanwerte ausmultipliziere und dann den Effektivwert bilde oder ?? Habe ich da einen Denkfehler ?? Denn wenn ich es ausprobiere kommt nicht das selbe heraus. Ich habe das Ergebnis mal als JPG. Das vi ist in der Version

       
Lv85_img
Sonstige .vi  Effektivwert.vi (Größe: 107,01 KB / Downloads: 282)
Alle Beiträge dieses Benutzers finden
Diese Nachricht in einer Antwort zitieren to top
Anzeige
28.04.2008, 13:58
Beitrag #2

Y-P Offline
☻ᴥᴥᴥ☻ᴥᴥᴥ☻
LVF-Team

Beiträge: 12.612
Registriert seit: Feb 2006

Developer Suite Core -> LabVIEW 2015 Prof.
2006
EN

71083
Deutschland
Problem mit Effektivwertberechnung
Also wenn Du es zuerst ausmultiplizierst, dann bildest Du einen Effektivwert von Sinus^2.
Das wird der Grund sein.
Wenn du erst danach multiplizierst, dann multiplizierst Du (richtigerweise) die jeweiligen Effektivwerte Deiner beiden Sinus-Funktionen.

Gruß Markus

--------------------------------------------------------------------------
Bitte stellt mir keine Fragen über PM, dafür ist das Forum da - andere haben vielleicht auch Interesse an der Antwort !!
--------------------------------------------------------------------------
Alle Beiträge dieses Benutzers finden
Diese Nachricht in einer Antwort zitieren to top
28.04.2008, 16:22
Beitrag #3

ImExPorty Offline
LVF-Freak
****


Beiträge: 572
Registriert seit: Jan 2008

8.6
2001
kA

65934
Deutschland
Problem mit Effektivwertberechnung
' schrieb:... zwei Sinusfunktionen habe und die Effektivwerte berechne und die Effektivwerte multipliziere, dann müsste doch das selbe herauskommen als wenn ich die Momentanwerte ausmultipliziere und dann den Effektivwert bilde ...

kommt drauf an ....manchmal gilt Lehrer

   

In diesem Fall immer, solange Effektivwert neutrale Signalmultiplikation =>
z. B. f2=n*f1 (n<>1)
   

Lv80_img
Sonstige .vi  EffektivwertMultiplikation_LV80.vi (Größe: 222,91 KB / Downloads: 268)


Winke

1 Postingempfehlungen, 2 Motivation
Fragen und Anpassungswünsche per PM werden, gegen Rechnungsstellung gerne beantwortet und realisiert ....wenn's dann doch kostenlos sein soll... bitte hier im LVF unter Berücksichtigung der voranstehenden Links posten.
Webseite des Benutzers besuchen Alle Beiträge dieses Benutzers finden
Diese Nachricht in einer Antwort zitieren to top
29.04.2008, 19:51 (Dieser Beitrag wurde zuletzt bearbeitet: 05.05.2008 09:07 von jg.)
Beitrag #4

jg Offline
CLA & CLED
LVF-Team

Beiträge: 15.864
Registriert seit: Jun 2005

20xx / 8.x
1999
EN

Franken...
Deutschland
Problem mit Effektivwertberechnung
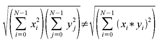
Also im allgemeinen gilt sicher, dass die beiden Seiten der folgenden Ungleichung nicht identisch sind. Ausnahmen (wie oben gezeigt) bestätigen die Regel.

   

MfG, Jens

Wer die erhabene Weisheit der Mathematik tadelt, nährt sich von Verwirrung. (Leonardo da Vinci)

!! BITTE !! stellt mir keine Fragen über PM, dafür ist das Forum da - andere haben vielleicht auch Interesse an der Antwort!

Einführende Links zu LabVIEW, s. GerdWs Signatur.
Alle Beiträge dieses Benutzers finden
Diese Nachricht in einer Antwort zitieren to top
30
Antwort schreiben 


Gehe zu: