INFO: Dieses Forum nutzt Cookies...
Cookies sind für den Betrieb des Forums unverzichtbar. Mit der Nutzung des Forums erklärst Du dich damit einverstanden, dass wir Cookies verwenden.

Es wird in jedem Fall ein Cookie gesetzt um diesen Hinweis nicht mehr zu erhalten. Desweiteren setzen wir Google Adsense und Google Analytics ein.


Antwort schreiben 

XY-Graph / Ausgleichsgerade & Standardabweichung



Wenn dein Problem oder deine Frage geklärt worden ist, markiere den Beitrag als "Lösung",
indem du auf den "Lösung" Button rechts unter dem entsprechenden Beitrag klickst. Vielen Dank!

31.03.2009, 14:35
Beitrag #1

AndiMz Offline
LVF-Grünschnabel
*


Beiträge: 20
Registriert seit: Sep 2005

8.6
2002
kA

55122
Deutschland
XY-Graph / Ausgleichsgerade & Standardabweichung
Guten Tag die Damen und Herren,

aktuell schlage ich mich mit folgendem Problem rum und bitte um ein paar Denkansätze......


Folgender Aufbau:
Stromquelle -> Strom/Frequenzumsetzer -> Frequenzzähler

Aufgabenstellung:
Linearität prüfen

Vorgehen:
Stromquelle und Frequenzzähler sind per GBIP/100 mit meinem Rechner verbunden. Ich initialisiere das ganze und schicke Random Stromimpulse im Rahmen der zu messenden Randbedingungen rein.

Der Anhang zeigt mir meine grafische Ausgabe. Hierzu nutze ich das "Build XY Graph" VI mit angeschlossenem XY-Graph. Erfreulich ist schon einmal, dass alles soweit funktioniert.

Problembeschreibung:
Ich würde gerne in das Diagramm eine Ausgleichsgerade reinlegen und die Abweichung meiner Messkurve vom linearen Fit in % bestimmen. Mir fehlt nur irgendwie der Ansatz für das ganze.

Ich habe versucht Strom und Freq aus beiden Schleifen rauszuführen und dann mittels dem VI "Linear Fit" mir zuerst einmal in einem separaten Fenster die Gerade anzeigen zu lassen. Hierbei habe ich aber das Problem, dass als X-Werte die Stromwerte eingesetzt werden. Da diese im Orginal aber nicht mit stetigen Abständen vorliegen, ist die ausgegebene Gerade unsinnig (oder zumindest erschliesst sich mir der Sinn nicht).

Weiterhin habe ich dann immer noch keinen Plan ob und wie ich diese Geradenwerte überhaupt in die Orginalgrafik reinbekomme. Ich glaube das scheitert schon einmal daran, dass der Orginal Strom/Frequenzverlauf ja Punkt für Punkt im inneren der Schleife aufgebaut wird, die Bestimmung der Ausgleichsgeraden ja aber esrt am Ende erfolgen kann.



Also wie gesagt, mir fehlt momentan der Ansatz und ich hoffe auf Eure Hilfe.


Grüße und solche Sachen

Andi


Angehängte Datei(en) Thumbnail(s)
       
Webseite des Benutzers besuchen Alle Beiträge dieses Benutzers finden
Diese Nachricht in einer Antwort zitieren to top
Anzeige
31.03.2009, 14:55 (Dieser Beitrag wurde zuletzt bearbeitet: 31.03.2009 14:56 von Lucki.)
Beitrag #2

Lucki Offline
Tech.Exp.2.Klasse
LVF-Team

Beiträge: 7.699
Registriert seit: Mar 2006

LV 2016-18 prof.
1995
DE

01108
Deutschland
XY-Graph / Ausgleichsgerade & Standardabweichung
Hast doch hoffentlich das "Full Development System", dann gibt es unter Mathematik/Anpassung das VI "Lineare Anpassung". Es gibt dort auch eine Ausgabe "Restbetrag", welche irgendwie den mittleren Fehler bei der Anpassung beschreibt.
Alle Beiträge dieses Benutzers finden
Diese Nachricht in einer Antwort zitieren to top
01.04.2009, 14:30
Beitrag #3

AndiMz Offline
LVF-Grünschnabel
*


Beiträge: 20
Registriert seit: Sep 2005

8.6
2002
kA

55122
Deutschland
XY-Graph / Ausgleichsgerade & Standardabweichung
' schrieb:Hast doch hoffentlich das "Full Development System", dann gibt es unter Mathematik/Anpassung das VI "Lineare Anpassung". Es gibt dort auch eine Ausgabe "Restbetrag", welche irgendwie den mittleren Fehler bei der Anpassung beschreibt.


Hallo und danke fuer den Tip.

Ich bin mir nicht sicher was fuer ein Programmumfang ich hier hab aber es ist vermutlich alles mit drin was so geht....
Auf jeden Fall war das der richtige Ansatz und ich kann mir jetzt auch in einem zusätzlichen Diagramm die Regressionsanalysedaten anzeigen lassen.


Jetzt habe ich allerdings zwei Diagramme.

Eins im Inneren der Schleifenstruktur welches mit Punkt für Punkt die aktuelle Kurve anzeigt und eins ausserhalb welches erst am Ende der Messung das Array darstellt und über einen zweiten Plot die Ausgleichsgerade ebenso.

Am Ende möchte ich allerdings nur ein Diagramm haben mit 2 Plots. Dem sich Punkt fuer Punkt aufbauenden Rohdaten-Plot sowie dem am Ende der Messreihe erscheinenden Ausgleichsgeraden-Plot.

Jemand ne Idee wie ich das bewerkstelligen kann ?


Danke für Eure Mühe....


Angehängte Datei(en) Thumbnail(s)
       
Webseite des Benutzers besuchen Alle Beiträge dieses Benutzers finden
Diese Nachricht in einer Antwort zitieren to top
01.04.2009, 15:04
Beitrag #4

jg Offline
CLA & CLED
LVF-Team

Beiträge: 15.864
Registriert seit: Jun 2005

20xx / 8.x
1999
EN

Franken...
Deutschland
XY-Graph / Ausgleichsgerade & Standardabweichung
Lokale Variable des einen Graphen anlegen und hier reinschreiben. Zweiter Graph kann dann gelöscht werden.

Gruß, Jens

P.S.: Ruf mal PulldownMenu->Help->About auf, dann weisst du, welches Dev. Paket du hast.

Wer die erhabene Weisheit der Mathematik tadelt, nährt sich von Verwirrung. (Leonardo da Vinci)

!! BITTE !! stellt mir keine Fragen über PM, dafür ist das Forum da - andere haben vielleicht auch Interesse an der Antwort!

Einführende Links zu LabVIEW, s. GerdWs Signatur.
Alle Beiträge dieses Benutzers finden
Diese Nachricht in einer Antwort zitieren to top
01.04.2009, 17:24 (Dieser Beitrag wurde zuletzt bearbeitet: 03.04.2009 13:35 von Lucki.)
Beitrag #5

Lucki Offline
Tech.Exp.2.Klasse
LVF-Team

Beiträge: 7.699
Registriert seit: Mar 2006

LV 2016-18 prof.
1995
DE

01108
Deutschland
XY-Graph / Ausgleichsgerade & Standardabweichung
' schrieb:Lokale Variable des einen Graphen anlegen und hier reinschreiben. Zweiter Graph kann dann gelöscht werden.
.. und einer muß doch schließlich das, was Jens wie immer richtig sagt, in die Tat umsetzen:
   
Alle Beiträge dieses Benutzers finden
Diese Nachricht in einer Antwort zitieren to top
03.04.2009, 13:08
Beitrag #6

AndiMz Offline
LVF-Grünschnabel
*


Beiträge: 20
Registriert seit: Sep 2005

8.6
2002
kA

55122
Deutschland
XY-Graph / Ausgleichsgerade & Standardabweichung
ist die 8.6 Prof Dev Sys mit zig Plugins allerdings kann ich hier auch bis auchzu den Betas hochwechselns wenn es neue Dingen geben sollte.

Danke übrigens fuer die schnelle DAU-Einführung in die lokalen Variablen. Hat natuerlich genau mein Problem behoben...
Webseite des Benutzers besuchen Alle Beiträge dieses Benutzers finden
Diese Nachricht in einer Antwort zitieren to top
Anzeige
03.04.2009, 13:47
Beitrag #7

jg Offline
CLA & CLED
LVF-Team

Beiträge: 15.864
Registriert seit: Jun 2005

20xx / 8.x
1999
EN

Franken...
Deutschland
XY-Graph / Ausgleichsgerade & Standardabweichung
' schrieb:ist die 8.6 Prof Dev Sys mit zig Plugins
Profil_ergaenzen

Wer die erhabene Weisheit der Mathematik tadelt, nährt sich von Verwirrung. (Leonardo da Vinci)

!! BITTE !! stellt mir keine Fragen über PM, dafür ist das Forum da - andere haben vielleicht auch Interesse an der Antwort!

Einführende Links zu LabVIEW, s. GerdWs Signatur.
Alle Beiträge dieses Benutzers finden
Diese Nachricht in einer Antwort zitieren to top
03.04.2009, 16:46
Beitrag #8

AndiMz Offline
LVF-Grünschnabel
*


Beiträge: 20
Registriert seit: Sep 2005

8.6
2002
kA

55122
Deutschland
XY-Graph / Ausgleichsgerade & Standardabweichung
' schrieb:Profil_ergaenzen


heheWink
Webseite des Benutzers besuchen Alle Beiträge dieses Benutzers finden
Diese Nachricht in einer Antwort zitieren to top
08.04.2009, 14:23
Beitrag #9

AndiMz Offline
LVF-Grünschnabel
*


Beiträge: 20
Registriert seit: Sep 2005

8.6
2002
kA

55122
Deutschland
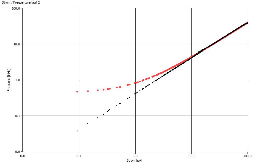
XY-Graph / Ausgleichsgerade & Standardabweichung
Vielen Dank fuer die Hinweise zuerst einmal.

Im Anhang ist in Rot meine Ausgleichsgerade abgebildet. Ich wuerde jetzt gerne die Gerade auch tatsächlich als Linie darstellen. Da die Punkte aber nicht stetig gesetzt werden, scheidet die Plot Interpolation in den Graph Properties aus.

Ich überlege jetzt ob ich einfach das Array mit den Daten nochmal sortieren muss um das zu lösen aber evt. hat ja hier einer ne bessere Idee?


Angehängte Datei(en) Thumbnail(s)
   
Webseite des Benutzers besuchen Alle Beiträge dieses Benutzers finden
Diese Nachricht in einer Antwort zitieren to top
08.04.2009, 16:18
Beitrag #10

Lucki Offline
Tech.Exp.2.Klasse
LVF-Team

Beiträge: 7.699
Registriert seit: Mar 2006

LV 2016-18 prof.
1995
DE

01108
Deutschland
XY-Graph / Ausgleichsgerade & Standardabweichung
' schrieb:Im Anhang ist in Rot meine Ausgleichsgerade abgebildet.
Kann Dir da leider nicht helfen, trage eine Gleitsichtbrille. Die rote Gerade ist da ganz krumm Mellow
Alle Beiträge dieses Benutzers finden
Diese Nachricht in einer Antwort zitieren to top
30
Antwort schreiben 


Möglicherweise verwandte Themen...
Themen Verfasser Antworten Views Letzter Beitrag
  Average/Mittlung - Anzeige eine Mittelwertkurve mit Standardabweichung Otti 7 7.831 20.09.2012 12:58
Letzter Beitrag: Otti

Gehe zu: