INFO: Dieses Forum nutzt Cookies...
Cookies sind für den Betrieb des Forums unverzichtbar. Mit der Nutzung des Forums erklärst Du dich damit einverstanden, dass wir Cookies verwenden.

Es wird in jedem Fall ein Cookie gesetzt um diesen Hinweis nicht mehr zu erhalten. Desweiteren setzen wir Google Adsense und Google Analytics ein.


Antwort schreiben 

Regelung der Druckluft in Abhängigkeit von vorgegebenen Werten



Wenn dein Problem oder deine Frage geklärt worden ist, markiere den Beitrag als "Lösung",
indem du auf den "Lösung" Button rechts unter dem entsprechenden Beitrag klickst. Vielen Dank!

31.10.2013, 09:59
Beitrag #11

GerdW Offline
______________
LVF-Team

Beiträge: 17.540
Registriert seit: May 2009

LV2019 (LV2021)
1995
DE_EN

10×××
Deutschland
RE: Regelung der Druckluft in Abhängigkeit von vorgegebenen Werten
Hallo Leo,

Zitat:Nehmen wir an die aktuelle Dehnung wäre 20%, die Usergrenzen sind 10 und 30%. Nun sollte der Druck solange erhöht werden, bis die Uservorgabe (30%) erreicht ist, danach soll der Druck solange vermindert werden, bis die 10% erreicht sind, usw. (wichtig ist halt: Sinusförmig).
Folgt die Dehnung linear dem Druck? Oder doch eher nicht-linear? Dann könnte es mit dem Sinus-Verlauf schwierig werden...

Zitat:Eingangsgröße: aktuelle Dehnung , Ausgangsgröße: Druck
So ist das mit Reglern: sie haben meist physikalische Größen als In/Out, obwohl die DAQ-Technik dazwischen mit V und mA agiert. Stört aber nicht, ist halt nur eine Skalierung der I/O-Werte!

Zitat:Und genau diese "Umrechnung" von aktueller Dehnung auf Ausgangsspannung/druck würde mich interessieren, bzw. wie sowas aussehen könnte.
Genau dafür gibt es doch Regelalgorithmen, z.B. den PID-Regler. Schau dir den mal an...

Um einen Regler zu erstellen, sollte man die Regelstrecke kennen (oder wenigstens abschätzen können). Deshalb die Frage oben, ob deine DUT linear auf Druckänderungen reagieren. Wenn man die Strecke kennt, kann man Regler parametrieren. Sowas lernt man üblicherweise in mindestens 2 Semestern an der Uni, Wikipedia fasst das in mehreren schönen Artikeln zusammen. Einfach mal lesen...

Alle Beiträge dieses Benutzers finden
Diese Nachricht in einer Antwort zitieren to top
31.10.2013, 10:50
Beitrag #12

Leo1 Offline
LVF-Grünschnabel
*


Beiträge: 30
Registriert seit: Feb 2011

2011
2012
DE


Deutschland
RE: Regelung der Druckluft in Abhängigkeit von vorgegebenen Werten
Hi!

Genau hier liegt das Problem: Die Dehnung folgt dem Druck NICHT linear (anfänglich eventuell schon noch, irgendwann wird daraus eher eine e-Funktion).

Tja, mittlerweile merk ich auch, dass mir Regelungstechnik doch etwas fehlt. Bin auf der Uni, aber eher Richtung Materialwissenschaften. Labview ist halt momentan ein Mittel zum Zweck für mich, um einen bestimmten Versuch realisieren zu können.

Werd mich aber jedenfalls mal ein wenig mit dem Thema Regelung beschäftigen. Danke für deine Hilfe, jetzt hab ich wenigstens ein paar AnsatzpunkteGuru1
Alle Beiträge dieses Benutzers finden
Diese Nachricht in einer Antwort zitieren to top
12.11.2013, 13:12
Beitrag #13

GerdW Offline
______________
LVF-Team

Beiträge: 17.540
Registriert seit: May 2009

LV2019 (LV2021)
1995
DE_EN

10×××
Deutschland
RE: Regelung der Druckluft in Abhängigkeit von vorgegebenen Werten
Hallo Leo,

machst du jetzt im NI-Forum weiter?

Alle Beiträge dieses Benutzers finden
Diese Nachricht in einer Antwort zitieren to top
12.11.2013, 13:25
Beitrag #14

Leo1 Offline
LVF-Grünschnabel
*


Beiträge: 30
Registriert seit: Feb 2011

2011
2012
DE


Deutschland
RE: Regelung der Druckluft in Abhängigkeit von vorgegebenen Werten
ja, mache ich, sind doch eh zwei verschiedene Foren, oder irre ich mich da? Kann ja nie verkehrt sein, sich mehrere Meinungen einzuholen, bzw. vl. kann mir dort jemand mit der Nichtlinearität helfen, bzw. mit dem Sinus-Signal
Alle Beiträge dieses Benutzers finden
Diese Nachricht in einer Antwort zitieren to top
12.11.2013, 13:41
Beitrag #15

jg Offline
CLA & CLED
LVF-Team

Beiträge: 15.864
Registriert seit: Jun 2005

20xx / 8.x
1999
EN

Franken...
Deutschland
RE: Regelung der Druckluft in Abhängigkeit von vorgegebenen Werten
Offtopic2
Ich habe aber keine Lust, mir in meiner Freizeit Gedanken über ein Problem zu machen, dass mglw. schon woanders gelöst wurde.
Deshalb in Übereinstimmung mit den LVF-Regeln bitte in Zukunft selber auf solche Crossposts hinweisen.

Danke, Jens

Wer die erhabene Weisheit der Mathematik tadelt, nährt sich von Verwirrung. (Leonardo da Vinci)

!! BITTE !! stellt mir keine Fragen über PM, dafür ist das Forum da - andere haben vielleicht auch Interesse an der Antwort!

Einführende Links zu LabVIEW, s. GerdWs Signatur.
Alle Beiträge dieses Benutzers finden
Diese Nachricht in einer Antwort zitieren to top
12.11.2013, 13:46 (Dieser Beitrag wurde zuletzt bearbeitet: 12.11.2013 13:48 von GerdW.)
Beitrag #16

GerdW Offline
______________
LVF-Team

Beiträge: 17.540
Registriert seit: May 2009

LV2019 (LV2021)
1995
DE_EN

10×××
Deutschland
RE: Regelung der Druckluft in Abhängigkeit von vorgegebenen Werten
Hallo Leo,

Zitat:vl. kann mir dort jemand mit der Nichtlinearität helfen, bzw. mit dem Sinus-Signal
Wenn du den nichtlinearen Zusammenhang kennst, dann kannst du ihn schon bei der Ansteuerung berücksichtigen.
Wenn du die Kennlinie nicht kennst, musst du mit einem entsprechenden Regler arbeiten (PID wäre eine Möglichkeit).

Was für weitere Hinweise erwartest du?
Hast du in der Zwischenzeit irgendetwas zusammengestellt/programmiert/ausprobiert?
Immerhin hattest du ja 2 Wochen Zeit, dir die nötigen Grundlagen anzulesen...

Alle Beiträge dieses Benutzers finden
Diese Nachricht in einer Antwort zitieren to top
Anzeige
13.11.2013, 09:56
Beitrag #17

Leo1 Offline
LVF-Grünschnabel
*


Beiträge: 30
Registriert seit: Feb 2011

2011
2012
DE


Deutschland
RE: Regelung der Druckluft in Abhängigkeit von vorgegebenen Werten
hi, danke mal für den Input.

Natürlich hab ich mir schon einige Vorgehensweisen überlegt, bin mir aber nicht ganz sicher, ob das der richtige Weg wäre, aber ich versuchs mal:

Wie gesagt, ich kenne den nichtlinearen Zusammenhang zwischen Dehnung und Druck nicht. Mal abgesehen davon, könnte ich das mit dem Sinus-Signal eventuell folgendermaßen lösen:

Es gibt ja in Labview die Möglichkeit, sich ein ganzes Sinus-Signal erzeugen zu lassen, und die einzelnen Werte dieses Signals in einen Buffer zu schreiben (im Prinzip wären die einzelnen Werte dann die einzelnen Dehnungswerte des Sinussignals). Ich könnte ja nun diesen Buffer durchlaufen, mir immer einen einzelnen Wert rausholen und diesen dem PID-Regler als Sollgröße übergeben. Die Istgröße bekomme ich in gewissen Zeitabständen von meinem Messsystem. So könnte der Regler dann die Dehnung-Sinuskurve regeln! Oder gibts an meiner Überlegung irgendwelche Probleme bzw. Fehler?

Kurz Zusammengefasst: Bevor überhaupt die Regelung beginnt, generiere ich mir schon einen Buffer mit den einzelnen Werten des fertigen Sinussignals (abhängig von den Benutzereingaben min/max Dehnung, Frequenz, Prüfdauer), und übergebe die einzelnen Werte dem PID, damit er diese Regeln kann!
Alle Beiträge dieses Benutzers finden
Diese Nachricht in einer Antwort zitieren to top
13.11.2013, 21:08
Beitrag #18

GerdW Offline
______________
LVF-Team

Beiträge: 17.540
Registriert seit: May 2009

LV2019 (LV2021)
1995
DE_EN

10×××
Deutschland
RE: Regelung der Druckluft in Abhängigkeit von vorgegebenen Werten
Hallo Leo,

ja, man kann einen Regler auch mit einem sich ändernden (anstatt konstanten) Sollwert betreiben...

Alle Beiträge dieses Benutzers finden
Diese Nachricht in einer Antwort zitieren to top
19.11.2013, 09:30
Beitrag #19

GerdW Offline
______________
LVF-Team

Beiträge: 17.540
Registriert seit: May 2009

LV2019 (LV2021)
1995
DE_EN

10×××
Deutschland
RE: Regelung der Druckluft in Abhängigkeit von vorgegebenen Werten
Hallo,

entweder hat Leo jetzt eine Kollegin bekommen, oder er hat sich einen neuen Nick zugelegt...

Alle Beiträge dieses Benutzers finden
Diese Nachricht in einer Antwort zitieren to top
24.01.2014, 11:56 (Dieser Beitrag wurde zuletzt bearbeitet: 24.01.2014 13:04 von jg.)
Beitrag #20

Leo1 Offline
LVF-Grünschnabel
*


Beiträge: 30
Registriert seit: Feb 2011

2011
2012
DE


Deutschland
RE: Regelung der Druckluft in Abhängigkeit von vorgegebenen Werten

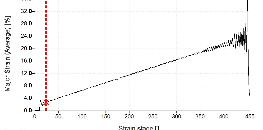
11.0 .vi  SC_Setpoint Profile monotonic_Blow up.vi (Größe: 56,04 KB / Downloads: 298)
so, mal ein kurzes Update:

@GerdW: Ich weiß nicht genau, was die Anschuldigung soll, kenne weder die betreffende Dame, noch habe ich mir einen Zweitnick zugelegt. Nur zur Info: Es ist durchaus nicht unüblich, dass jemand (so wie die Dame) mit Dehnmessstreifen arbeitet, wobei ICH ja eine andere Frage habe/hatte (ich habe keinen DMS, sondern ein optisches Messsystem, arbeite mit Druckluft, ...). Persönliche Anschuldigungen sind also fehl am Platz. Wer nicht antworten will, soll es einfach unterlassen.

So, nun zum aktuellen Status:

Ich habe mich nun schon in das Thema PID ein bisschen eingelesen, und auch ein erstes Programm enwickelt (welches nun eine zeitlang still lag):

Anders, wie im Anfangsposting erwähnt, soll die Dehnung anfänglich nur linear sein (z.B. 2%/sek, bzw. ein (lineares) Dehnungsprofil soll vorgegeben werden). Das Ganze funktioniert auch halbwegs, das Problem ist nur, dass die Regelung mit den anfänglich eingstellten PID-Werten nur bis zu einer bestimmten Dehnung funktioniert (abhängig vom Material, grundsätzlich liegt das Problem meiner Meinung nach daran, dass ab einer gewissen Dehnung das Material zu "fließen" beginnt -> kleine Druckerhöhung führt zu einer viel höheren Dehnungserhöhung), und genau das soll ausgeglichen werden.

Erste Ansätze:
1) PID-Werte nachträglich nachjustieren (bzw. die Werte abhängig von der momentanen Dehnung ändern)
2) Autotuning: Soweit ich weiß, besteht ja die Möglichkeit, dass Labview selber "ideale" PID-Werte findet bzw. die Werte nachjustiert: Könnte sowas funktionieren, oder ist der Ansatz mal grundlegend falsch.

Es gilt noch immer: Zusammenhang Druck-Dehnung ist nichtlinear (nur anfänglich linear)

Anbei noch das Labview-Programm und ein Screenshot des Dehnungsverlaufes (wo man recht gut sieht, dass ab ca. 20% Dehnung die Dehnung nicht mehr linear ist, sondern eher einen Sinus-Verlauf hat -> eventuell zu hoher P-Wert???)

Danke an alle, die mir eventuell (auch ohne persönliche Angriffe) helfen können.


lg
Leo

lv11_img


Angehängte Datei(en) Thumbnail(s)
   

0.0 .zip  PID-Dehnung.zip (Größe: 56,25 KB / Downloads: 255)
Alle Beiträge dieses Benutzers finden
Diese Nachricht in einer Antwort zitieren to top
30
Antwort schreiben 


Möglicherweise verwandte Themen...
Themen Verfasser Antworten Views Letzter Beitrag
  RT Regelung, welche Abtastraten sind mit PXI möglich? doom1702 0 6.688 15.12.2011 18:12
Letzter Beitrag: doom1702
  Regelung mit cRIO pompei_p 3 9.537 22.05.2007 16:13
Letzter Beitrag: thomas.sandrisser

Gehe zu: