INFO: Dieses Forum nutzt Cookies...
Cookies sind für den Betrieb des Forums unverzichtbar. Mit der Nutzung des Forums erklärst Du dich damit einverstanden, dass wir Cookies verwenden.

Es wird in jedem Fall ein Cookie gesetzt um diesen Hinweis nicht mehr zu erhalten. Desweiteren setzen wir Google Adsense und Google Analytics ein.


Antwort schreiben 

MathScript



Wenn dein Problem oder deine Frage geklärt worden ist, markiere den Beitrag als "Lösung",
indem du auf den "Lösung" Button rechts unter dem entsprechenden Beitrag klickst. Vielen Dank!

11.12.2007, 21:54
Beitrag #1

checkedbasic Offline
LVF-Grünschnabel
*


Beiträge: 39
Registriert seit: Nov 2007

2012
2007
kA

52074
Deutschland
MathScript
Hallo zusammen,

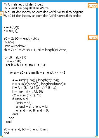
in meinem Programm möchte ich MathScript dazu benutzen, mir den Anfang und das Ende einer chemischen Reaktion auszurechnen. Eigentlich hatte ich das Skript unter Matlab geschrieben. Sie funktioniert auch einwandfrei.
Leider muss Matlab dann auch auf jedem Rechner installiert sein, auf dem das Programm laufen sol.
Deswegen würde ich die Fkt. gerne in MathScript realisieren. Die Synthax ist ja genauso, soweit ich das gesehen habe.
Leider funktioniert es aber nicht.
Ich bekomme immer folgende Fehlermeldung: Unknown symbol on line 34: a_end

Vielleicht kann mir ja jemand von Euch sagen, was da falsch ist. Ich hab mal ein Bild des SkriptNodes beigefügt.

Vielen Dank im Voraus.
Lg Chris

   
Alle Beiträge dieses Benutzers finden
Diese Nachricht in einer Antwort zitieren to top
Anzeige
12.12.2007, 11:16
Beitrag #2

jg Offline
CLA & CLED
LVF-Team

Beiträge: 15.864
Registriert seit: Jun 2005

20xx / 8.x
1999
EN

Franken...
Deutschland
MathScript
Vielleicht könntest du mal ein (reduziertes) VI mit der MathScriptnode hochladen, Screenshots sind so schlecht real zu debuggen.

MfG, Jens

Wer die erhabene Weisheit der Mathematik tadelt, nährt sich von Verwirrung. (Leonardo da Vinci)

!! BITTE !! stellt mir keine Fragen über PM, dafür ist das Forum da - andere haben vielleicht auch Interesse an der Antwort!

Einführende Links zu LabVIEW, s. GerdWs Signatur.
Alle Beiträge dieses Benutzers finden
Diese Nachricht in einer Antwort zitieren to top
12.12.2007, 11:24
Beitrag #3

VDB Offline
LVF-Stammgast
***


Beiträge: 426
Registriert seit: Oct 2005

2010-2011
1997
kA

52134
Deutschland
MathScript
Mathscript ist wahrscheinlich case sensitive und Matlab nicht...

Du benutzt A_end / a_end und b_end / B_end in deinem Programm. Als Output sind aber nur a_end und b_end deklariert...
Und was wird in der vorletzten Zeil mit Dmin gemacht?? Nix?

VDB
Alle Beiträge dieses Benutzers finden
Diese Nachricht in einer Antwort zitieren to top
13.12.2007, 18:10
Beitrag #4

checkedbasic Offline
LVF-Grünschnabel
*


Beiträge: 39
Registriert seit: Nov 2007

2012
2007
kA

52074
Deutschland
MathScript
Hier ist das VI, in dem der MathScriptNode drin ist. Dieses ist alleine allerdings nicht lauffähig.
Ich habe allerdings einen Report beigefügt, in dem die Daten, die an das MathScript übergeben werden, enthalten sind.

Die Werte a_end und b_end sind die Zeitindizes und nur diese brauche ich um weiterzurechnen.
Die Werte A_end und B_end sind die entsprechenden Funktionswerte.
Die Angabe von Dmin am Ende ist überflüssig. Es ist ein Relikt aus der Entwicklung des Matlab Skripts.

Kurz nochmal zur Funktion des ganzen Programms:
Es soll die Dauer einer chemischen Reaktion bestimmt werden, die sich in einem Farbumschwung äussert. Und zwar von grün nach gelb. Dazu wird der chemische Prozess mit 25 Frames pro Sekunde aufgenommen und als avi-File gespeichert.
Das Programm analysiert jedes Bild und speichert den maximalen Blauanteil jedes Bildes. Dieses verrauschte Signal wird nochmal gefiltert und dann an das MthScript übergeben. Das MathScript bestimmt nun den Anfang und das Ende des Abfalls des Blaugehaltes der Bilder.

Hier das Haupt-VI und der Report.


Sonstige .vi  Image_Project.vi (Größe: 501,73 KB / Downloads: 463)



Sonstige .txt  report.txt (Größe: 7,66 KB / Downloads: 454)


Gruß Chris
Alle Beiträge dieses Benutzers finden
Diese Nachricht in einer Antwort zitieren to top
30
Antwort schreiben 


Möglicherweise verwandte Themen...
Themen Verfasser Antworten Views Letzter Beitrag
  MathScript richtig nutzen Heber 16 14.719 18.11.2017 12:04
Letzter Beitrag: Heber
  Frage zum MathScript Module Heber 1 3.182 03.10.2017 11:11
Letzter Beitrag: GerdW
  Variablennamen im MathScript-Knoten DrHoas 2 4.605 29.03.2012 09:58
Letzter Beitrag: DrHoas
  MathScript Schleife sehr langsam horscht(i) 2 4.911 27.03.2012 13:41
Letzter Beitrag: horscht(i)
  MathScript Node wird nicht angezeigt wewa 4 7.040 07.04.2011 19:29
Letzter Beitrag: wewa
  Mathscript tiko 1 6.137 08.02.2010 12:52
Letzter Beitrag: chrissyPu

Gehe zu: