INFO: Dieses Forum nutzt Cookies...
Cookies sind für den Betrieb des Forums unverzichtbar. Mit der Nutzung des Forums erklärst Du dich damit einverstanden, dass wir Cookies verwenden.

Es wird in jedem Fall ein Cookie gesetzt um diesen Hinweis nicht mehr zu erhalten. Desweiteren setzen wir Google Adsense und Google Analytics ein.


Antwort schreiben 

abschnittsweise Integrieren



Wenn dein Problem oder deine Frage geklärt worden ist, markiere den Beitrag als "Lösung",
indem du auf den "Lösung" Button rechts unter dem entsprechenden Beitrag klickst. Vielen Dank!

13.07.2010, 20:30
Beitrag #1

florioso Offline
LVF-Grünschnabel
*


Beiträge: 14
Registriert seit: Jul 2010

Labview 2009
2010
de


Deutschland
abschnittsweise Integrieren
Ich möchte einen Signalverlauf abschnittsweise integrieren (mittels numerischer Integration).
D.h. ich möchte dieses Ergebnis später auch graphisch darstellen, und es ist eben wichtig, dass abschnittsweise integriert wird und nicht über den kompletten Signalverlauf.
Der Signalverlauf liegt üblich als 1-D-Array vor.
Wie löse ich das am einfachsten?

Mein Problem bisher: wenn ich dies mit einer for-schleife lösen möchte, und das Array mittel indizierten Tunnel übergebe, kann ich nicht mehr die "numerische Integration" benutzen, da die numerische Integration ein Array als Einganggröße benötigt.
Vielleicht eine einfachere Rechnung ohne das "numerische Integration.vi"?

Am Ende der for-schleife möchte ich dann einen Signalverlauf der Integrationswerte haben, um diesen später im sellben Zeitverlauf wie das ursprüngliche Signal darzustellen.

Vielen Dank vorab!
Alle Beiträge dieses Benutzers finden
Diese Nachricht in einer Antwort zitieren to top
Anzeige
13.07.2010, 20:46
Beitrag #2

jg Offline
CLA & CLED
LVF-Team

Beiträge: 15.864
Registriert seit: Jun 2005

20xx / 8.x
1999
EN

Franken...
Deutschland
abschnittsweise Integrieren
Eine Möglichkeit: Mit der Funktion Array Subset:
   
den Teil aus den Array ausschneiden, über den du integrieren willst.

Gruß, Jens

Wer die erhabene Weisheit der Mathematik tadelt, nährt sich von Verwirrung. (Leonardo da Vinci)

!! BITTE !! stellt mir keine Fragen über PM, dafür ist das Forum da - andere haben vielleicht auch Interesse an der Antwort!

Einführende Links zu LabVIEW, s. GerdWs Signatur.
Alle Beiträge dieses Benutzers finden
Diese Nachricht in einer Antwort zitieren to top
13.07.2010, 22:42 (Dieser Beitrag wurde zuletzt bearbeitet: 14.07.2010 08:21 von Lucki.)
Beitrag #3

Lucki Offline
Tech.Exp.2.Klasse
LVF-Team

Beiträge: 7.699
Registriert seit: Mar 2006

LV 2016-18 prof.
1995
DE

01108
Deutschland
abschnittsweise Integrieren
Die Mitarbeit hier im Formum brachte es mit sich, daß ich allmählich hellseherische Fähigkeiten entwickeln konnte, und so sagt mir meine Glaskugel jetzt:
Mit "abschnittsweise integrieren" von f(x) meinst Du nichts anderes als das unbestimmte Integral Int(f(x))dx, was eine Funktion ergibt. (Im Geggensatz zum bestimmten Integral in den Grenzen a und b, was ein Konstante ergibt)
Dafür gibt es ein fertiges VI:
   
Alle Beiträge dieses Benutzers finden
Diese Nachricht in einer Antwort zitieren to top
14.07.2010, 08:27
Beitrag #4

florioso Offline
LVF-Grünschnabel
*


Beiträge: 14
Registriert seit: Jul 2010

Labview 2009
2010
de


Deutschland
abschnittsweise Integrieren
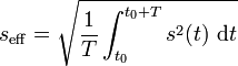
Es handelt sich schon um ein bestimmtes Integral, genauer gesagt möchte ich den gleitenden effektivwert darstellen, jedoch soll eben nur abschnittsweise integriert werden, da sich der Effektivwert laufend ändert (in jedem Abschnitt).
siehe angehängte Formel, jedoch ändern sich beim gleitenden Effektivwert die Grenzen: von t-T/2 bis t+T/2

und ich will eben nicht nur einen Teil des Signalarray integrieren, sondern immer abschnittsweise von Anfang bis Ende


Angehängte Datei(en) Thumbnail(s)
   
Alle Beiträge dieses Benutzers finden
Diese Nachricht in einer Antwort zitieren to top
14.07.2010, 09:52 (Dieser Beitrag wurde zuletzt bearbeitet: 14.07.2010 10:26 von dimitri84.)
Beitrag #5

dimitri84 Offline
Astronaut
*****


Beiträge: 1.496
Registriert seit: Aug 2009

2020 Developer Suite
2009
DE_EN

53562
Deutschland
abschnittsweise Integrieren
Was spricht gegen ein RMS VI von LabVIEW?

Gibt's auch als "Punkt für Punkt" VI. Und gibt's auch für Signalverläufe.

„Sag nicht alles, was du weißt, aber wisse immer, was du sagst.“ (Matthias Claudius)
Webseite des Benutzers besuchen Alle Beiträge dieses Benutzers finden
Diese Nachricht in einer Antwort zitieren to top
14.07.2010, 12:26
Beitrag #6

florioso Offline
LVF-Grünschnabel
*


Beiträge: 14
Registriert seit: Jul 2010

Labview 2009
2010
de


Deutschland
abschnittsweise Integrieren
brauche eine lösung ohne RMS.vi
Alle Beiträge dieses Benutzers finden
Diese Nachricht in einer Antwort zitieren to top
Anzeige
14.07.2010, 12:29
Beitrag #7

dimitri84 Offline
Astronaut
*****


Beiträge: 1.496
Registriert seit: Aug 2009

2020 Developer Suite
2009
DE_EN

53562
Deutschland
abschnittsweise Integrieren
Wieso? Ist zu 99.9% besser oder mind. gleich gut.

„Sag nicht alles, was du weißt, aber wisse immer, was du sagst.“ (Matthias Claudius)
Webseite des Benutzers besuchen Alle Beiträge dieses Benutzers finden
Diese Nachricht in einer Antwort zitieren to top
14.07.2010, 12:53
Beitrag #8

florioso Offline
LVF-Grünschnabel
*


Beiträge: 14
Registriert seit: Jul 2010

Labview 2009
2010
de


Deutschland
abschnittsweise Integrieren
brauch eben eine mathamtische Alternative zum RMS.vi
Alle Beiträge dieses Benutzers finden
Diese Nachricht in einer Antwort zitieren to top
14.07.2010, 12:55 (Dieser Beitrag wurde zuletzt bearbeitet: 14.07.2010 13:02 von jg.)
Beitrag #9

jg Offline
CLA & CLED
LVF-Team

Beiträge: 15.864
Registriert seit: Jun 2005

20xx / 8.x
1999
EN

Franken...
Deutschland
abschnittsweise Integrieren
Nochmals: Mit Array Subset (Beitrag #2) kannst du Teile aus dem Array ausschneiden. Was geht daran nicht?

Ansonsten wäre dein VI mit Daten mal nicht schlecht. (Stichwort Upload).

Gruß, Jens

Wer die erhabene Weisheit der Mathematik tadelt, nährt sich von Verwirrung. (Leonardo da Vinci)

!! BITTE !! stellt mir keine Fragen über PM, dafür ist das Forum da - andere haben vielleicht auch Interesse an der Antwort!

Einführende Links zu LabVIEW, s. GerdWs Signatur.
Alle Beiträge dieses Benutzers finden
Diese Nachricht in einer Antwort zitieren to top
14.07.2010, 12:56 (Dieser Beitrag wurde zuletzt bearbeitet: 14.07.2010 12:57 von GerdW.)
Beitrag #10

GerdW Offline
______________
LVF-Team

Beiträge: 17.540
Registriert seit: May 2009

LV2019 (LV2021)
1995
DE_EN

10×××
Deutschland
abschnittsweise Integrieren
Hallo Florioso,

vielleicht so:
   

Die RMS-Funktion kannst du ja noch gegen deine eigene Rechenroutine austauschen... (Und evtl. einen Check einführen, ob bei negativem ArrayIndex die korrekte Anzahl von Elementen ausgegeben wird - bzw. etwas zusätzliche Index-Arithmetik einführen. Du sollst ja auch noch was selber machenSmile)

Alle Beiträge dieses Benutzers finden
Diese Nachricht in einer Antwort zitieren to top
Antwort schreiben 


Möglicherweise verwandte Themen...
Themen Verfasser Antworten Views Letzter Beitrag
  Spannung und Hysteresefläche integrieren HTX 4 5.607 04.01.2017 11:37
Letzter Beitrag: HTX
  Sinus integrieren LabViewPete 9 9.220 11.09.2015 14:48
Letzter Beitrag: LabViewPete
  Wie Werte aus 1D Array einzeln integrieren corleone13375 3 5.806 11.09.2014 11:43
Letzter Beitrag: jg
  Beschleunigung Integrieren moehre 12 16.046 23.07.2014 08:52
Letzter Beitrag: GerdW
  Teile eines Arrays integrieren Tobias218 11 12.267 14.04.2013 20:36
Letzter Beitrag: Holy
  Scriptsprache in LV Anwendung integrieren wernerIBN 4 7.158 06.07.2012 12:20
Letzter Beitrag: wernerIBN

Gehe zu: